Задание 5.210 - ГДЗ Математика 5 класс. Виленкин, Жохов. Учебник часть 2. Страница 38

Старая и новая редакции

Вернуться к содержанию учебника

5.207 5.208 5.209 5.210 5.211 5.212 5.213

Вопрос

№5.210 учебника 2023-2026 (стр. 38):

№5.210 учебника 2021-2022 (стр. 38):

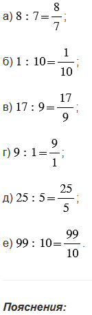
Запишите в виде дроби частное:

а) 8 : 7;

б) 1 : 10;

в) 17 : 9;

г) 9 : 1;

д) 25 : 5;

е) 99 : 10.

Подсказка

№5.210 учебника 2023-2026 (стр. 38):

№5.210 учебника 2021-2022 (стр. 38):

Ответ

№5.210 учебника 2023-2026 (стр. 38):

№5.210 учебника 2021-2022 (стр. 38):


Вернуться к содержанию учебника