Номер 599 - ГДЗ Алгебра 8 класс. Мерзляк, Полонский. Учебник. Страница 149

Вернуться к содержанию учебника

Упражнения §18. Страница 149

596 597 598 599 600 601 602

Вопрос

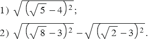
Упростите выражение:

Подсказка

Ответ


Вернуться к содержанию учебника