Номер 429 - ГДЗ Математика 5 класс. Мерзляк, Полонский. Учебник. Страница 118

Вернуться к содержанию учебника

Страница 118

426 427 428 429 430 431 432

Вопрос

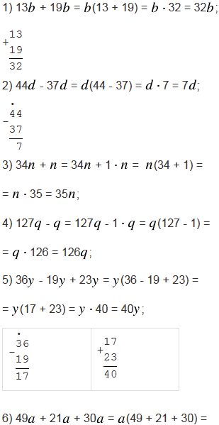
Упростите выражение:

1) 13 + 19;

2) 44 - 37;

3) 34 + ;

4) 127 - ;

5) 36 - 19 + 23;

6) 49 + 21 + 30.

Подсказка

Вспомните:

  1. Распределительное и переместительное свойства умножения относительно сложения и относительно вычитания.
  2. Сложение чисел.
  3. Вычитание чисел.

Ответ


Вернуться к содержанию учебника