Вернуться к содержанию учебника
№4.33 учебника 2021-2022 (стр. 14):
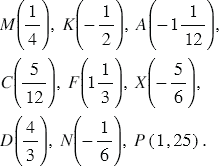
Приняв за единичный отрезок длину 12 клеток тетради, начертите координатную прямую и отметьте на ней точки

№4.33 учебника 2021-2022 (стр. 14):
№4.33 учебника 2021-2022 (стр. 14):

Пояснения:
Прямую, на которой выбраны начало отсчета, единичный отрезок и направление, называют координатной прямой. Число, которое показывает положение точки на прямой, называют координатой этой точки.
Отрицательные числа, как и положительные, также отмечаются на координатной прямой, но слева от точки О. Положительное направление отмечают стрелкой.
Вернуться к содержанию учебника