Задание 4.321 - ГДЗ Математика 6 класс. Виленкин, Жохов. Учебник часть 2. Страница 59

Старая и новая редакции

Вернуться к содержанию учебника

4.318 4.319 4.320 4.321 4.322 4.323 4.324

Вопрос

№4.321 учебника 2023-2024 (стр. 59):

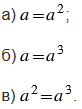
При каких значениях верно равенство:

Подсказка

№4.321 учебника 2023-2024 (стр. 59):

Вспомните:

  1. Степень числа.
  2. Умножение рациональных чисел.
  3. Модуль числа.

Ответ

№4.321 учебника 2023-2024 (стр. 59):


Вернуться к содержанию учебника