Задание 4.239 - ГДЗ Математика 6 класс. Виленкин, Жохов. Учебник часть 2. Страница 48

Старая и новая редакции

Вернуться к содержанию учебника

4.236 4.237 4.238 4.239 4.240 4.241 4.242

Вопрос

№4.239 учебника 2023-2024 (стр. 48):

Составьте алгебраическую сумму со следующими слагаемыми:

Подсказка

№4.239 учебника 2023-2024 (стр. 48):

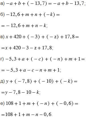
Ответ

№4.239 учебника 2023-2024 (стр. 48):


Пояснения:

При составлении алгебраической суммы помним, чтобы из данного числа вычесть другое, надо к уменьшаемому прибавить число, противоположное вычитаемому. Противоположные числа отличаются только знаками.


Вернуться к содержанию учебника