Вернуться к содержанию учебника
Вопросы и задачи на повторение. Задачи. Страница 168
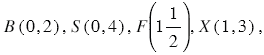
№П.92 учебника 2023-2026 (стр. 168):
На координатной прямой отметьте точки


если за единичный отрезок принято 20 клеток.
№П.92 учебника 2023-2026 (стр. 168):
Вспомните:
Вернуться к содержанию учебника