Вернуться к содержанию учебника
Проверьте себя
Проверочная работа №1
1. Запишите в виде десятичных дробей числа из таблицы.

2. Запишите в виде десятичной дроби:

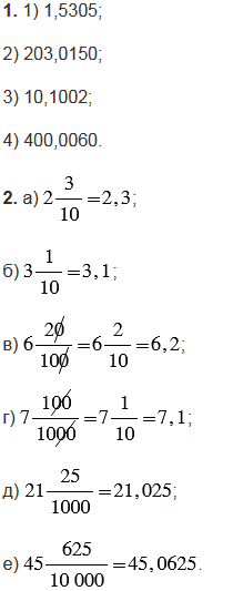
3. Представьте в виде обыкновенной дроби или смешанного числа.
а) 4,05; г) 30,50;
б) 23,6; д) 0,100;
в) 501,02; е) 74,006.
4. Выразите в метрах:
а) 15 м 3 дм;
б) 4 км 2 см;
в) 3 м 40 см 5 мм;
г) 500 м 6 дм 7 см 8 мм.
5. Выразите в килограммах:
а) 30 кг 162 г;
б) 4 кг 500 г;
в) 2 ц 45 г;
г) 2 т 1 ц 7 кг 8 г.
Вспомните:



Пояснения:
Числа со знаменателями 10, 100, 1000 и т.д. условились записывать без знаменателя. Сначала пишут целую часть, а потом числитель дробной части. Целую часть отделяют от дробной части запятой. При этом после запятой числитель дробной части должен иметь столько же цифр, сколько нулей в знаменателе. Если в числителе обыкновенной стоит меньше цифр, чем нулей в знаменателе этой дроби, то при записи десятичной дроби после запятой добавляют нули, а за ними пишут цифры из числителя, причем нулей добавляют столько, чтобы общее количество цифр, записанных после запятой, равнялось количеству нулей в знаменателе соответствующей обыкновенной дроби.
При переводе десятичной дроби в обыкновенную, число, которое идет до запятой, будет целой частью смешанного числа, если целая часть десятичной дроби равна нулю, то получим обыкновенную дробь; в числителе обыкновенной дроби пишем числа стоящие после запятой, если сразу после запятой идет ноль или несколько нулей, их в числитель не пишем; в знаменателе обыкновенной дроби пишем столько нулей, сколько цифр стоит после запятой в соответствующей десятичной дроби. Сокращение дроби - это деление числителя и знаменателя данной дроби на их общий делитель, отличный от 1. Чтобы получить несократимую дробь, ее числитель и знаменатель нужно разделить на их наибольший общий делитель (в решении число, на которое сокращаем дробь, выделено синим цветом).
1 м = 10 дм, значит, дециметр составляет десятую часть метра (1 дм = 0,1 м);
1 м = 100 см, значит, сантиметр составляет сотую часть метра (1 см = 0,01 м);
1 км = 1000 м;
1 м = 1000 м, значит, миллиметр составляет тысячную часть метра (1 мм = 0,001 м).
1 кг = 1000 г, значит, грамм составляет тысячную часть килограмма (1 г = 0,001 кг).
1 ц = 100 кг; 1 т = 1000 кг.
Вернуться к содержанию учебника