Вернуться к содержанию учебника
№6.20 учебника 2023-2024 (стр. 95):
№6.20 учебника 2021-2022 (стр. 79):
Что меньше:

№6.20 учебника 2023-2024 (стр. 95):
№6.20 учебника 2021-2022 (стр. 79):
Вспомните:
№6.20 учебника 2023-2024 (стр. 95):
№6.20 учебника 2021-2022 (стр. 79):


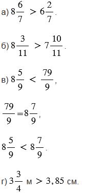
Пояснения:
Из двух смешанных чисел, у которых различная целая часть, меньше то число, у которого целая часть меньше. Из двух смешанных чисел, у которых одинаковая целая часть, меньше то число, у которого дробная часть меньше.
Из двух дробей с одинаковыми знаменателями меньше та, у которой меньше числитель, и больше та, у которой больше числитель.
Если дана неправильная дробь (числитель больше знаменателя), то ее нужно преобразовать в смешанное число. Чтобы неправильную дробь, числитель которой нацело не делится на знаменатель, преобразовать в смешанное число, надо числитель разделить на знаменатель с остатком; полученное неполное частное записать как целую часть смешанного числа, а остаток - как числитель его дробной части.
В пункте г) учитываем то, что
1 м = 100 см, значит, 3 м больше 3 см.
Вернуться к содержанию учебника