Вернуться к содержанию учебника
№5.558 учебника 2023-2026 (стр. 88):
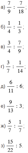
Найдите частное:

№5.558 учебника 2023-2026 (стр. 88):
Вспомните:
№5.558 учебника 2023-2026 (стр. 88):

Пояснения:
Чтобы разделить одну дробь на другую, нужно делимое умножить на число, обратное делителю.
Обратным числу
является число
.
Если
- натуральное число, то обратным ему является число
.
Чтобы найти произведение двух дробей, можно:
1) перемножить их числители и перемножить их знаменатели;
2) первое произведение записать числителем, а второе - знаменателем дроби.
Чтобы умножить обыкновенную дробь на натуральное число, нужно ее числитель умножить на это число, а знаменатель оставить без изменения.
Чтобы вычисления были проще, не надо перемножать сразу числители и знаменатели, лучше сделать это после сокращения их на общие множители.
Также помним, дробь с единицей в знаменателе равна своему числителю.
Вернуться к содержанию учебника