Задание 5.519 - ГДЗ Математика 5 класс. Виленкин, Жохов. Учебник часть 2. Страница 84

Старая и новая редакции

Вернуться к содержанию учебника

5.516 5.517 5.518 5.519 5.520 5.521 5.522

Вопрос

№5.519 учебника 2023-2026 (стр. 84):

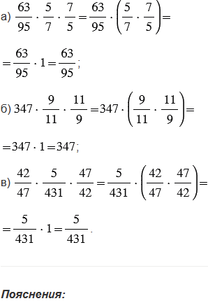
Вычислите произведение:

Подсказка

№5.519 учебника 2023-2026 (стр. 84):

Вспомните:

  1. Умножение дробей, взаимно обратные числа.
  2. Свойства умножения.

Ответ

№5.519 учебника 2023-2026 (стр. 84):


Вернуться к содержанию учебника