Вернуться к содержанию учебника
Выберите год учебника
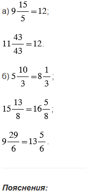
№5.457 учебника 2023-2026 (стр. 72):
Уменьшив целую часть чисел
на единицу, запишите результат в виде неправильной дроби.
№5.457 учебника 2021-2022 (стр. 72):
Запишите:
а) числа
в виде натуральных чисел;
б) числа
так, чтобы их дробная часть была правильной дробью.
№5.457 учебника 2023-2026 (стр. 72):
Вспомните:
№5.457 учебника 2021-2022 (стр. 72):
Вспомните:
№5.457 учебника 2023-2026 (стр. 72):

Пояснения:
Чтобы, уменьшив целую часть чисел
на единицу, записать результаты в виде неправильной дроби (дроби, у которой числитель больше знаменателя), помним, чтобы преобразовать смешанное число в неправильную дробь, надо целую часть числа умножить на знаменатель дробной части и к полученному произведению прибавить числитель дробной части; эту сумму записать как числитель неправильной дроби, а в ее знаменатель записать знаменатель дробной части смешанного числа.
№5.457 учебника 2021-2022 (стр. 72):



Вернуться к содержанию учебника