Вернуться к содержанию учебника
№5.323 учебника 2023-2024 (стр. 56):
№5.323 учебника 2021-2022 (стр. 56):
Составьте задачу по выражению:

№5.323 учебника 2023-2024 (стр. 56):
№5.323 учебника 2021-2022 (стр. 56):
Вспомните:
№5.323 учебника 2023-2024 (стр. 56):
№5.323 учебника 2021-2022 (стр. 56):
За первый день было собрано
всех овощей, а за второй -
всех овощей.
а) Какая часть овощей была собрана за эти два дня?

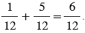
Ответ:
овощей.
б) На какую часть овощей было собрано меньше в первый день, чем во второй?

Ответ: на
овощей.
Пояснения:
а) Чтобы найти, какая часть овощей была собрана за два дня, нужно сложить части овощей, собранные в первый и во второй дни.
При сложении дробей с одинаковыми знаменателями опираемся на следующее правило: чтобы найти сумму двух дробей с одинаковыми знаменателями, нужно сложить их числители, а знаменатель оставить прежним.
б) Чтобы узнать, на какую часть овощей было собрано меньше в первый день, чем во второй, нужно из части овощей, собранной во второй день, вычесть часть овощей, собранную в первый день.
При вычитании дробей с одинаковыми знаменателями опираемся на следующее правило: чтобы найти разность двух дробей с одинаковыми знаменателями, нужно из числителя уменьшаемого вычесть числитель вычитаемого, а знаменатель оставить прежним.
Вернуться к содержанию учебника