Вернуться к содержанию рабочей тетради
По каждой схеме составь задачу и реши её.

Решение

Задача 1:
На дереве было 5 груш, одну грушу сняли. Сколько груш осталось?
Задача 2:
В вазе лежало 4 яблока. В неё добавили ещё одно. Сколько яблок стало в вазе?
Пояснение
к задаче 1:

Сколько стало? Добавили. Увеличилось. Сложение. Знак плюс.
к задаче 2:

Сколько осталось? Сняли, значит, убрали. Уменьшилось. Вычитание. Знак минус.
Дополни условие и реши задачу:
У Юры было
машинок. Ему подарили ещё 2 машинки. Сколько машинок стало у Юры?


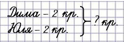
Дима вырезал 2 круга, и Юля вырезала столько же. Сколько всего кругов они вырезали?
Нарисуй схему и реши задачу.

Раскрась флажок, на рисунке которого 4 прямых угла красным цветом, 2 прямых угла - зелёным, 1 прямой угол - синим цветом.

Соедини точки по линейке, чтобы получились четырёхугольник и ломаная линия из трёх звеньев.

Вернуться к содержанию рабочей тетради