Вернуться к содержанию учебника
№5.336 учебника 2023-2026 (стр. 58):
№5.336 учебника 2021-2022 (стр. 58):
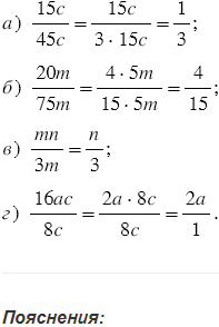
Сократите дробь:

№5.336 учебника 2023-2026 (стр. 58):
№5.336 учебника 2021-2022 (стр. 58):
Вспомните:
№5.336 учебника 2023-2026 (стр. 58):
№5.336 учебника 2021-2022 (стр. 58):

Основное свойство дроби:
Если числитель и знаменатель дроби умножить или разделить на одно и то же натуральное число, то получится равная ей дробь.
Деление числителя и знаменателя на их общий делитель, отличный от единицы, называют сокращением дроби.
При сокращении дроби можно разложить числитель и знаменатель на несколько множителей, а потом уже сокращать.
Вернуться к содержанию учебника