Вернуться к содержанию учебника
№5.300 учебника 2023-2026 (стр. 52):
№5.300 учебника 2021-2022 (стр. 52):
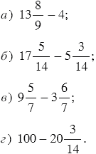
Найдите разность:

№5.300 учебника 2023-2026 (стр. 52):
№5.300 учебника 2021-2022 (стр. 52):
№5.300 учебника 2023-2026 (стр. 52):
№5.300 учебника 2021-2022 (стр. 52):

При сложении (вычитании) смешанных чисел нужно целые части сложить (вычесть) отдельно и дробные части тоже отдельно.
Если дробная часть уменьшаемого меньше дробной части вычитаемого, то дробную часть уменьшаемого делают неправильной дробью, заняв единицу в его целой части.
При вычитании из натурального числа дроби или смешанного числа поступают таким же образом.
Чтобы найти разность двух дробей с одинаковыми знаменателями, нужно из числителя уменьшаемого вычесть числитель вычитаемого, а знаменатель оставить прежним.
Вернуться к содержанию учебника