Вернуться к содержанию учебника
Выберите год учебника
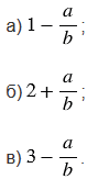
№2.221 учебника 2023-2026 (стр. 75):
Отметьте на координатном луче (рис. 2.6) точки, координаты которых равны:


Рис. 2.6
№2.221 учебника 2021-2022 (стр. 68):
От рулона полиэтиленовой пленки длиной 40 м отрезали кусок длиной
м. Сколько метров пленки осталось в рулоне?
№2.221 учебника 2023-2026 (стр. 75):
Вспомните:
№2.221 учебника 2021-2022 (стр. 68):
Вспомните:
Вернуться к содержанию учебника