Вернуться к содержанию учебника
Выберите год учебника
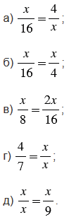
№3.80 учебника 2023-2026 (стр. 133):
Найдите
:

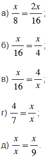
№3.80 учебника 2021-2022 (стр. 133):
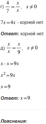
Решите уравнение:

№3.80 учебника 2023-2026 (стр. 133):
№3.80 учебника 2021-2022 (стр. 133):
Вспомните:
Вернуться к содержанию учебника