Номер 1132 - ГДЗ Алгебра 7 класс. Мерзляк, Полонский. Учебник. Страница 222

Вернуться к содержанию учебника

Страница 222

1129 1130 1131 1132 1133 1134 1135

Вопрос

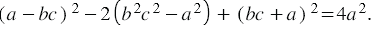
Докажите тождество

Подсказка

Ответ


Вернуться к содержанию учебника