Вернуться к содержанию рабочей тетради
21. Выполни сложение и проверь результат вычитанием.

Решение

Пояснение
Пишу (единицы под единицами, десятки под десятками, сотни под сотнями, единицы тысяч под единицами тысяч): 64287 + 3713.
Складываю единицы: 7 + 3 = 10. 10 ед. - это 1 дес. и 0 ед.; 0 ед. пишу под единицами, а 1 дес. прибавлю к десяткам.
Складываю десятки: 8 + 1 = 9, да ещё 1.
9 + 1 = 10.
10 дес. - это 1 сот. и 0 дес.; 0 дес. пишу под десятками, а 1 сот. прибавлю к сотням.
Складываю сотни: 2 + 7 = 9, да ещё 1.
9 + 1 = 10.
10 сот. - это 1 ед. тыс. и 0 сот.; 0 сот. пишу под сотнями, а 1 ед. тыс. прибавлю к единицам тысяч.
Складываю единицы тысяч: 4 + 3 = 7, да ещё 1.
7 + 1 = 8.
Пишу 8 под единицами тысяч, а под десятками тысяч пишу 6, так как других десятков тысяч для сложения нет.
Читаю ответ: 68000.
Пишу (единицы под единицами, десятки под десятками, сотни под сотнями, единицы тысяч под единицами тысяч): 68000 - 3713.
Вычитаю единицы: из 0 ед. нельзя вычесть 4 ед. Взять 1 дес. из 0 нельзя, поэтому возьму 1 ед. тыс. из 8 ед. тыс. (Чтобы не забыть об этом, ставлю точку над цифрой 8).
1 ед. тыс. - это 10 сот. Беру 1 сот. из 10 сот. (Чтобы не забыть об этом, ставлю точку над цифрой 0). 1 сот. - это 10 дес. Беру 1 дес. из 10 дес. (Чтобы не забыть об этом, ставлю точку над цифрой 0.)
1 дес. и 0 ед. - это 10 ед. Из 10 вычесть 3, получится 7. Пишу под единицами 7.
Вычитаю десятки: было 10 дес., но 1 дес. взяли при вычитании единиц, осталось 9 дес. Из 9 вычесть 1, получится 8. Пишу под десятками 8.
Вычитаю сотни: было 10 сот., но 1 сот. взяли при вычитании единиц, осталось 9 сот. Из 9 вычесть 7, получится 2. Пишу под сотнями 2.
Вычитаю единицы тысяч: было 8 ед. тыс., но 1 ед. тыс. взяли при вычитании единиц, осталось 7 ед. тыс. Из 7 вычесть 3, получится 4. Пишу 4 под единицами тысяч.
Вычитаю десятки тысяч: пишу 6 под десятками тысяч, так как других десятков тысяч для вычитания нет.
Читаю ответ: 64287.
Далее рассуждаю аналогично.
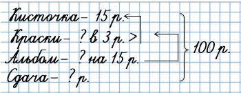
22. Косте надо купить альбом для рисования, набор красок и кисточку. Сколько рублей сдали получит Костя со 100 р., если кисточка стоит 15 р., набор красок в 3 раза дороже, чем кисточка, а альбом на 15 р. дешевле красок?
Повтори способы оформления краткой записи к задаче.
23. Катя задумала число. Увеличила его в 4 раза, полученный результат увеличила на 4 и получила 40. Какое число задумала Катя?
Для ответа на вопрос составь числовое выражение и вычисли его значение.
Повтори, что такое числовое выражение.
Вернуться к содержанию рабочей тетради