Вернуться к содержанию рабочей тетради
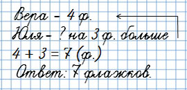
Вера раскрасила 4 флажка, а Юля - на 3 больше.
Сколько ... Юля?

В нашем справочнике повтори тему "Больше. Меньше".


В нашем справочнике повтори материал о сложении и вычитании чисел, не забудь про состав чисел от 1 до 10.
В данном задании нужно раскрасить красным цветом прямоугольники с примерами, имеющими ответ 7, и синим цветом - примеры с ответом 2.


В нашем справочнике повтори состав чисел от 5 до 10.
Начерти отрезок на 2 см короче данного.

В нашем справочнике повтори тему "Длиннее. Короче". Вспомни, что такое отрезок и не забудь про сантиметр.
Вернуться к содержанию рабочей тетради