Вернуться к содержанию учебника
№4.147 учебника 2023-2026 (стр. 35):
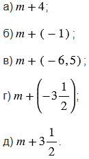
Используя рисунок 4.34, изобразите на координатной прямой числа:


Рис. 4.34
№4.147 учебника 2023-2026 (стр. 35):
Вспомните сложение чисел с помощью координатной прямой.
Вернуться к содержанию учебника