Задание 4.68 - ГДЗ Математика 6 класс. Виленкин, Жохов. Учебник часть 2. Страница 21

Старая и новая редакции

Вернуться к содержанию учебника

4.65 4.66 4.67 4.68 4.69 4.70 4.71

Вопрос

№4.68 учебника 2023-2026 (стр. 21):

Назовите:

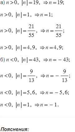
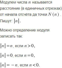
а) положительные числа, модули которых равны 19, 1, и 4,9;

б) отрицательные числа, модули которых равны 43, 5,6 и 1.

Подсказка

Ответ

№4.68 учебника 2023-2026 (стр. 21):


Вернуться к содержанию учебника