Задание 4.40 - ГДЗ Математика 6 класс. Виленкин, Жохов. Учебник часть 2. Страница 16

Старая и новая редакции

Вернуться к содержанию учебника

4.37 4.38 4.39 4.40 4.41 4.42 4.43

Вопрос

№4.40 учебника 2023-2026 (стр. 16):

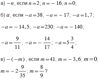
Чему равно значение выражения:

Подсказка

№4.40 учебника 2023-2026 (стр. 16):

Вспомните, какие числа называют противоположными.

Ответ

№4.40 учебника 2023-2026 (стр. 16):


Вернуться к содержанию учебника