Задание 6.102 - ГДЗ Математика 5 класс. Виленкин, Жохов. Учебник часть 2

Старая и новая редакции

Вернуться к содержанию учебника

6.99 6.100 6.101 6.102 6.103 6.104 6.105

Вопрос

№6.102 учебника 2023-2026 (стр. 107):

№6.102 учебника 2021-2022 (стр. 91):

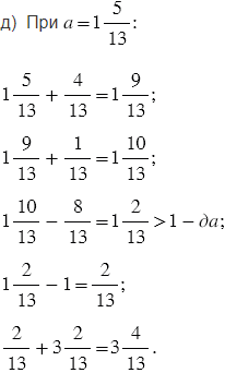
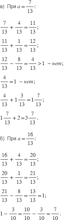
Найдите число по схеме алгоритма при , равном:

Подсказка

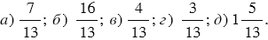
Ответ

№6.102 учебника 2023-2026 (стр. 107):

№6.102 учебника 2021-2022 (стр. 91):


Пояснения:

Чтобы найти сумму (разность) двух дробей с одинаковыми знаменателями, нужно сложить (вычесть) их числители, а знаменатель оставить прежним;

Чтобы выполнить сложение смешанных чисел, нужно отдельно выполнить сложение целых частей и отдельно дробных частей.

Чтобы выполнить вычитание смешанных чисел, нужно отдельно выполнить вычитание целых частей и отдельно дробных частей.


Вернуться к содержанию учебника