Вернуться к содержанию рабочей тетради
Выберите год рабочей тетради
Стр. 62 рабочей тетради 2023-2026:
10. Фирма закупила 14 столов, а стульев в 4 раза больше. Все стулья поставили в 7 комнат, поровну в каждую. Сколько стульев в каждой комнате?
Реши задачу, составляя выражение.
Стр. 62 рабочей тетради 2011-2022:
10. Для нового помещения фирма закупила 14 новых столов, а стульев в 4 раза больше. Все купленные стулья поставили в 7 комнат, поровну в каждую. Сколько новых стульев в каждой комнате?
Реши задачу, составляя выражение.
Если в задаче есть слова «в ... раз больше», то задача решается умножением.
Выберите год рабочей тетради
Стр. 62 рабочей тетради 2023-2026:
11. Запиши названия всех прямоугольных _____ и остроугольных треугольников _____.

Стр. 62 рабочей тетради 2011-2022:
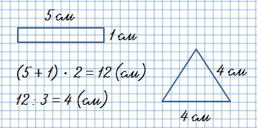
11. Найди длину стороны равностороннего треугольника, периметр которого равен периметру прямоугольника со сторонами 5 см и 1 см.
Способы вычисления периметра прямоугольника:
1 способ: Сложить длины всех сторон прямоугольника
2 способ: Умножить длину каждой стороны прямоугольника на 2 и найти сумму полученных произведений
3 способ: Сумму длин двух противоположных сторон прямоугольника умножить на 2.
Стр. 62 рабочей тетради 2023-2026:
Решение
Прямоугольные треугольники - ABE, OEB, KMC, DMC.
Остроугольные треугольники - ABO, BOK, OKD, KDC.
Пояснение
Остроугольный треугольник – это треугольник, в котором все три угла острые, т.е. меньше 90°.
Прямоугольный треугольник – это треугольник, в котором один угол прямой, т.е. 90º.
Стр. 62 рабочей тетради 2011-2022:
Решение
1) (5 + 1) • 2 = 12 (см) - периметр прямоугольника
2) 12 : 3 = 4 (см)
Ответ: длина стороны треугольника 4 см.
Пояснение
Периметр треугольник - сумма всех его сторон.
Треугольник равносторонний, значит, все его стороны равны между собой, поэтому мы можем периметр разделить на 3, чтобы найти длину 1 стороны.

12. Найди частное подбором.
| 1) 96 : 24 | 42 : 14 | 63 : 21 |
| 72 : 18 | 90 : 18 | 75 : 25 |
| 2) 900 : 300 | 700 : 100 |
| 800 : 200 | 600 : 300 |
Повтори материал о нахождении частного методом подбора - внетабличное деление.
Вспомни о делении круглых чисел.
Решение
| 1) 96 : 24 = 4 | 42 : 14 = 3 | 63 : 21 = 3 |
| 72 : 18 = 4 | 90 : 18 = 5 | 75 : 25 = 3 |
| 2) 900 : 300 = 3 | 700 : 100 = 7 |
| 800 : 200 = 4 | 600 : 300 = 2 |
Пояснение
Рассуждай так:
Задание 1:
Деление 96 : 24 выполняется путём подбора частного.
24 • 2 = 48, 48 < 96, значит число 2 не подходит.
24 • 3 = 72, 72 < 96, значит число 3 не подходит.
24 • 4 = 96, 96 = 96, значит 4 - искомое частное.
Задание 2:
900 : 300 = 9 с. : 3 с. = 3
13.
180
3 = 300
240
280
4 = 400
330
96
6 = 2
8
84
7 = 9
3
Повтори материал о нахождении частного методом подбора - внетабличное деление.
Вспомни о делении круглых чисел.
Вернуться к содержанию рабочей тетради