Вернуться к содержанию рабочей тетради
1. Вычисли значения выражений.

2.
| 4 • (15 - 6) | 64 - 20 - 16 |
| 78 - 58 + 2 | 42 : (13 - 6) |
| 45 : (18 : 2) | 48 : 6 • 4 |
Вспомни порядок выполнения действий при нахождении значения числовых выражений со скобками и без них.
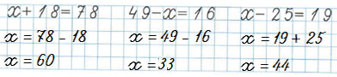
3. Реши уравнения.
x + 18 = 78
49 - x = 16
x - 25 = 19
Решить уравнение – это значит найти такое значение неизвестного числа, при котором это равенство станет верным.

Вернуться к содержанию рабочей тетради