Вернуться к содержанию учебника
№6.1 учебника 2023-2024 (стр. 93):
№6.1 учебника 2021-2022 (стр. 77):
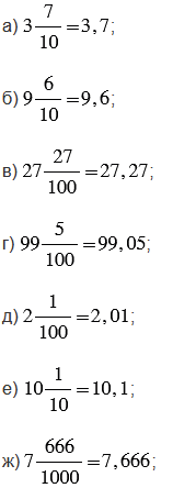
Запишите в виде десятичной дроби:

№6.1 учебника 2023-2024 (стр. 93):
№6.1 учебника 2021-2022 (стр. 77):
Вспомните десятичную запись дробных чисел.
№6.1 учебника 2023-2024 (стр. 93):
№6.1 учебника 2021-2022 (стр. 77):


Пояснения:
Числа со знаменателями 10, 100, 1000 и т.д. записывают без знаменателя. Сначала пишут целую часть, ставят запятую, а потом числитель дробной части. После запятой десятичных знаков должно быть столько же, сколько нулей в знаменателе. Если в числителе дроби цифр меньше, чем нулей в знаменателе, то перед числом, стоящим в числителе добавляют нулю, чтобы уравнять количество цифр в числителе и количество нулей в знаменателе.
Вернуться к содержанию учебника