Вернуться к содержанию учебника
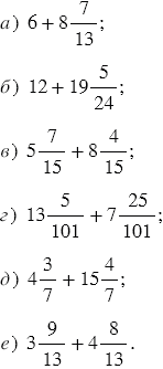
№5.301 учебника 2023-2026 (стр. 52):
№5.301 учебника 2021-2022 (стр. 52):
Найдите сумму:

№5.301 учебника 2023-2026 (стр. 52):
№5.301 учебника 2021-2022 (стр. 52):
№5.301 учебника 2023-2026 (стр. 52):
№5.301 учебника 2021-2022 (стр. 52):

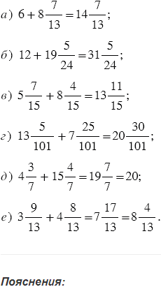
При сложении (вычитании) смешанных чисел нужно целые части сложить (вычесть) отдельно и дробные части тоже отдельно.
Чтобы найти сумму двух дробей с одинаковыми знаменателями, нужно сложить их числители, а знаменатель оставить прежним.
Чтобы неправильную дробь, числитель которой нацело не делится на знаменатель, преобразовать в смешанное число, надо числитель разделить на знаменатель; полученное неполное частное записать как целую часть смешанного числа, а остаток - как числитель его дробной части.
Вернуться к содержанию учебника