Вернуться к содержанию рабочей тетради
19. 1) Для детского сада купили 6 красных шаров и 3 синих, по цене 5 р. за каждый. Сколько денег заплатили за все эти шары?
Реши задачу двумя способами, составляя выражения.

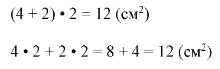
2) Запиши и объясни, как можно найти площадь прямоугольника ABCD, умножая сумму на число, и как можно найти его площадь другим способом.

3) Вычисли значения выражений любым способом.

Если есть схематический рисунок, таблица или чертёж, краткую запись задачи составлять не нужно.
Площадь прямоугольника равна произведению его длины и ширины.
Чтобы умножить сумму на число, можно вычислить сумму и умножить её на число или умножить на число каждое слагаемое и полученные результаты сложить.
Решение
Задача 1:

Задача 2:

Задача 3:

Пояснение
Площадь прямоугольника равна произведению его длины и ширины.
Чтобы умножить сумму на число, можно вычислить сумму и умножить её на число или умножить на число каждое слагаемое и полученные результаты сложить.
Задача 1:

Задача 2:
Первый способ: нахожу сразу площадь большого прямоугольника ABCD.
Второй способ: нахожу сначала площадь одного прямоугольника, потом площадь второго прямоугольника и складываю их.

Задача 3:
Решаю другими способами:

Вернуться к содержанию рабочей тетради